Razonamiento espacial y su expresión en la metodología de transición del diseño 2D al 3D en estudiantes de Arquitectura

Spatial reasoning and its expression in the methodology of transition from 2D to 3D design in Architecture students

Raciocínio espacial e sua expressão na metodologia de transição do design 2D para o 3D em estudantes de Arquitetura


DOI:
https://doi.org/10.18861/ania.2025.15.2.4168


Bethsy-Liliana Serrano-Mariño
Universidad Privada Antenor Orrego
Perú
bethsyliliana@gmail.com
ORCID:
https://orcid.org/0000-0001-6178-1523


Recibido: 30/05/2025
Aceptado: 15/10/2025


Cómo citar:
Serrano Mariño, B. L. (2025). Razonamiento espacial y su expresión en la metodología de transición del diseño 2D al 3D en estudiantes de Arquitectura. Anales de Investigación en Arquitectura, 15(2). https://doi.org/10.18861/ania.2025.15.2.4168


Resumen

El razonamiento espacial es importante en la labor de los arquitectos, y aún más en los inicios de su formación, donde se requiere transformar coherentemente ideas bidimensionales en tridimensionales. El objetivo del estudio es analizar el razonamiento espacial a través de una experiencia práctica aplicando la metodología de transición del diseño 2D al 3D en estudiantes de Arquitectura, con un enfoque cuantitativo, descriptivo-correlacional. 21 estudiantes del Taller de diseño I-2025 de una Universidad Nacional en Huánuco-Perú fue la muestra. Para diagnosticar sus habilidades de razonamiento espacial se aplicó el subtests Visualization of Developments espacial (PSVT:V), y el subtests Visualization of Rotations (PSVT:R), del Purdue Spatial Visualization Test de (PSVT), y para evaluar la experiencia práctica se aplicó una rúbrica analítica 2D-3D. Los resultados reportaron niveles medio-alto de razonamiento espacial, con una leve preponderancia en rotación mental y aunque la relación entre el PSVT:V, PSVT:R, PSVT Total y el desempeño proyectual de la experiencia práctica no fueron estadísticamente significativas, se identificaron correlaciones positivas consistentes, donde los estudiantes con el razonamiento espacial más desarrollado obtuvieron mejores resultados al transitar sus diseños del 2D al 3D, lo que hace del PSVT un predictor pedagógico importante en la enseñanza del diseño arquitectónico en los niveles iniciales. Recomendándose implementar herramientas diagnósticas tempranas y metodologías activas para fortalecer el razonamiento espacial, así como replicar el estudio con muestras más grandes.

Palabras clave: Razonamiento espacial, Visualización espacial, Rotación mental, Metodología de transición 2D-3D, Experiencia práctica, Rúbrica analítica 2D-3D, PSVT:V, PSVT:R, Purdue Spatial Visualization Test-PSVT, Educación en arquitectura.


Abstract

Spatial reasoning is essential in the architectural profession, and even more so at the beginning of their training, where it is necessary to coherently transform two-dimensional ideas into three-dimensional ones. The objective of the study is to analyze spatial reasoning through a hands-on experience applying the 2D-to-3D design transition methodology to architecture students, using a quantitative, descriptive-correlational approach. The sample consisted of 21 students from the Design Workshop I-2025 at a National University in Huánuco, Peru. To assess their spatial reasoning abilities, the Visualization of Developments (PSVT:V) and Visualization of Rotations (PSVT:R) subtests of the Purdue Spatial Visualization Test (PSVT) were administered, and the 2D–3D analytical rubric was used to evaluate practical experience. The results reported medium-to-high levels of spatial reasoning, with a slight preponderance of mental rotation, and although the relationships between PSVT:V, PSVT:R, total PSVT score, and design performance in practical experience were not statistically significant, consistent positive correlations were identified, whereby students with more developed spatial reasoning achieved better results when transitioning their designs from 2D to 3D, making the PSVT an important pedagogical predictor in the teaching of architectural design at the introductory levels. It is recommended to implement early diagnostic tools and active methodologies to strengthen spatial reasoning, as well as to replicate the study with larger samples.

Keywords: Spatial reasoning, spatial visualization, mental rotation, 2D-to-3D transition methodology, hands-on experience, 2D-to-3D analytical rubric, PSVT:V, PSVT:R, Purdue Spatial Visualization Test-PSVT, architectural education.


Resumo

O raciocínio espacial é essencial na ocupação dos arquitetos, e ainda mais no início de sua formação, onde é necessário transformar ideias bidimensionais em tridimensionais de forma coerente. O objetivo do estudo é analisar o raciocínio espacial através de uma experiência prática aplicando a metodologia de transição do design 2D para o 3D em estudantes de Arquitetura, com uma abordagem quantitativa, descritivo-correlacional. 21 estudantes da Oficina de Design I-2025 de uma Universidade Nacional em Huánuco-Peru foram a amostra. Para diagnosticar suas habilidades de raciocínio espacial, foram aplicados os subtestes Visualização de Desenvolvimentos Espaciais (PSVT:V) e Visualização de Rotações (PSVT:R) do Teste de Visualização Espacial de Purdue (PSVT), e para avaliar a experiência prática, foi aplicada a rubrica analítica 2D-3D. Os resultados relataram níveis médio-altos de raciocínio espacial, com uma leve preponderância na rotação mental e, embora a relação entre o PSVT:V, PSVT:R, PSVT Total e o desempenho projetual na experiência prática não fossem estatisticamente significativas, foram identificadas correlações positivas consistentes, onde os estudantes com o raciocínio espacial mais desenvolvido obtiveram melhores resultados ao transitar seus projetos do 2D para o 3D, o que torna o PSVT um importante preditor pedagógico no ensino do design arquitetônico nos níveis iniciais. Recomenda-se implementar ferramentas de diagnóstico precoce e metodologias ativas para fortalecer o raciocínio espacial, bem como replicar o estudo com amostras maiores.

Palavras-chave: Raciocínio espacial, Visualização espacial, Rotação mental, Metodologia de transição 2D-3D, Experiência prática, Rúbrica analítica 2D-3D, PSVT:V, PSVT:R, Teste de Visualização Espacial de Purdue-PSVT, Educação em arquitetura.


Introducción

El razonamiento espacial implica la habilidad cognitiva de imaginar y visualizar cómo los objetos pueden moverse, girarse o combinarse en el espacio tanto en dos como en tres dimensiones y es considerada fundamental para los estudiantes de arquitectura durante la resolución de problemas en el proceso de diseño (Porat & Ceobanu, 2024). Según Jean Piaget, el razonamiento espacial evoluciona mediante etapas operativas formales y concretas, donde la rotación mental es una habilidad cognitiva fundamental. (Da Silva et al., 2024). En tanto, Howard Gardner, reconoce al razonamiento espacial como un componente clave en su Teoría de inteligencias múltiples (Tiwari et al., 2024) (Lavicza et al., 2023), lográndose mediante intervenciones educativas selectivas (Lacombe & Dias, 2023). Y para Raymond Duval, es necesario moverse entre diferentes registros de representación para desarrollar el razonamiento espacial, integrando sistemas de comunicación efectiva de información compleja, permitiendo la comprensión de datos 2D-3D, implicando traslación, rotación y proyección de objetos en diferentes dimensiones. (Lavicza et al., 2023) (Qin et al., 2022), haciendo de la transición del diseño 2D al 3D un proceso cognitivo técnico complejo que mejora la capacidad de interactuar y percibir el mundo en tres dimensiones (Korites, 2023) (Hong et al., 2024) Estas teorías sustentan el estudio del razonamiento espacial en el campo cognitivo de los estudiantes de arquitectura. (Gomez-Tone et al., 2022) (Münster et al., 2024).

Se revisaron estudios que validan la necesidad de investigar habilidades de razonamiento espacial en el diseño, destacando su importancia para comprender los desafíos que enfrentan los estudiantes en la transición del diseño 2D al 3D. Lara & Parra (2022), en su artículo “Análisis de la prueba estandarizada(PSVT: R), como ruta de diagnóstico, para la intervención con instrumentos, facilitadores del desarrollo de la habilidad espacial de rotación, esencial, en la comprensión de la Geometría Descriptiva”, destaca la falta de dominio en la rotación mental considerándolo un desafío significativo para los estudiantes de ingeniería. Tuvo como objetivo mejorar esta habilidad e identificar deficiencias para proponer soluciones que faciliten el aprendizaje de geometría descriptiva. Utilizó el PSVT:R en un estudio de caso cualitativo, realizaron entrevistas y análisis estadísticos. 18 estudiantes de primer año de ingeniería de manufactura e ingeniería mecánica de la Universidad Tecnológica de Pereira conformaron la muestra. El análisis estadístico reveló que el 61% de los estudiantes rotaban mentalmente toda la figura y un 42% enfrentó dificultades relacionadas con la aplicación de un segundo giro, la memoria espacial y la retención de la figura rotada para su comparación. Los resultados indicaron que la prueba PSVT:R es un indicador de habilidad espacial eficaz, sugiriendo usar pruebas de conocimientos previos y software Unity para mejorar esta habilidad. Los hallazgos permiten comprender los desafíos que enfrentan los estudiantes de arquitectura al pasar del diseño2D al 3D. Santos et al. (2023), en el artículo “Spatial skills and the education of architecture and urbanism: use of Minecraft game for shape and geometry study”, investigó el uso de Minecraft para desarrollar habilidades espaciales en estudiantes de Arquitectura y Urbanismo de la Universidad Federal de Juiz de Fora, mediante dos encuentros basados en la taxonomía de Bloom revisada. La muestra consistió en 23 alumnos de primer ciclo-2022. Mediante un método observacional evaluaron el proceso de los estudiantes y sus construcciones. Los resultados mostraron que, mientras los estudiantes manejaban bien las actividades simples, enfrentaron dificultades con tareas complejas sobre implantación y uso de materiales, concluyendo que los juegos digitales como Minecraft, mejoran la comprensión de las operaciones formales y vinculan conocimientos de geometría con la creación de espacios, favoreciendo el razonamiento espacial. Según los antecedentes, se evidenciaron que los estudiantes de primer año en su mayoría presentan dificultades en su razonamiento espacial al momento de transitar del diseño 2D al 3D, lo que puede repercutir negativamente en su rendimiento académico (Suciati et al., 2023). Además, encontramos que son pocos son los estudios que diagnostiquen el nivel de razonamiento espacial en etapa formativa. Por lo que, el objetivo de este estudio es analizar razonamiento espacial a través de una experiencia práctica basada en la metodología de transición del diseño 2D al 3D en estudiantes del primer ciclo de Arquitectura de una Universidad Nacional en Huánuco-Perú.


Metodología

Este estudio está desarrollado con una metodología de enfoque cuantitativo, no experimental, transeccional descriptivo-correlacional sin manipulación de variables y en un único momento de observación. La muestra consistió en 21 estudiantes del Taller de diseño I-2025 de una Universidad Nacional en Huánuco-Perú. Los instrumentos de recolección de datos utilizados fueron: El subtests Visualization of Developments (PSVT:V) y el subtests Visualization of Rotations (PSVT:R) del Purdue Spatial Visualization Test (PSVT), desarrollado por Roland B. Guay en 1976, con propiedades psicométricas de validez de contenido y constructo (Guay et al., 1976), superiores a 0.80 en múltiples estudios educativos. Estructurado en 60 ítems de opción múltiple, 30 por subtest, cada ítem presentó una pregunta gráfica con cinco alternativas posibles, de las cuales solo una es correcta, y la rúbrica analítica 2D-3D aplicada por un único docente, permitiendo valorar los trabajos en 4 criterios: coherencia formal del diseño 2D y su versión 3D, comprensión de profundidad y escala, fidelidad de la transformación proyectual y la calidad técnica; cada criterio fue calificado en una escala de uno a cinco puntos, siendo el puntaje total veinte. Asimismo, se respetaron los principios bioéticos y éticos internacionales durante el estudio.

La secuencia metodológica consistió en tres etapas: Siendo la primera, el diagnóstico para establecer el nivel de razonamiento espacial (visualización espacial y rotación mental) de los estudiantes de Taller de diseño 1-2025, administrándose de manera digital los subtest del Purdue Spatial Visualization Test (PSVT:V y PSVT:R) antes del inicio de la experiencia práctica (Bartlett & Camba, 2023), como se observa en la figura 1.


Figura 1
Estudiantes resolviendo digitalmente los subtests del Purdue Spatial Visualization Test (PSVT:V y PSVT:R) en Taller de diseño 1-2025

En la segunda etapa, los estudiantes realizaron la experiencia práctica progresiva con la metodología de transición del diseño 2D al 3D para estimular el razonamiento espacial (visualización espacial y rotación mental), desarrollando primero el diseño de una composición bidimensional abstracta analizando su estructura formal, ejes de organización, zonas de intensidad, principios ordenadores y reflexionando sobre las posibles transformaciones espaciales (elevar, hundir, plegar) para anticipar su paso a lo tridimensional (Amro & Dawoud, 2024). Luego, elaboraron un croquis volumétrico, seleccionando entre 3 y 5 formas clave, a las que asignaron alturas simbólicas, construyendo un volumen en perspectiva, integrando detalles gráficos (sombras, tramas, texturas) y exploraciones creativas alternativas; y, por último, construyeron modelos físicos tridimensionales a escala, promoviendo el uso consciente del razonamiento espacial y pensamiento geométrico (Zich, 2023). En la Figura 2 se muestran el proceso de la metodología de transición del diseño 2D al 3D, desde la composición abstracta 2D hasta la construcción de modelos físicos tridimensionales.


Figura 2
Proceso progresivo de transición del diseño 2D al 3D: (a) composiciones 2D abstractas, (b) croquis volumétrico con exploraciones gráficas, y (c) modelos tridimensionales a escala

La tercera etapa metodológica consistió en la evaluación y calificación del modelo físico tridimensional con la rúbrica analítica 2D-3D bajo los criterios de coherencia formal de diseño 2D y su versión 3D, comprensión de profundidad y escala, fidelidad de la transformación proyectual y la calidad técnica, elaborada para esta experiencia práctica y aplicada por un único docente para garantizar la consistencia en la evaluación de todos los trabajos prácticos. Las Figuras 3 y 4 sintetizan las etapas del estudio y de la experiencia práctica a través de la metodología de transición del diseño 2D al 3D aplicada para estimular el razonamiento espacial en los estudiantes de arquitectura.


Figura 3
Etapas del estudio de Razonamiento espacial y su expresión en la metodología de transición del diseño 2D al 3D en estudiantes de Arquitectura


Figura 4
Secuencia de la experiencia práctica a través de la metodología de transición del diseño 2D al 3D

Para el análisis de resultados se emplearon técnicas de estadística descriptiva e inferencial para identificar patrones y relaciones entre el nivel de razonamiento espacial y su expresión en la metodología de transición del diseño 2D al 3D. Los datos fueron procesados con el software JASP (v. 0.18). Se analizaron las puntuaciones del Purdue Spatial Visualization Test (PSVT:V, PSVT:R y PSVT Total) y de la rúbrica analítica 2D-3D. Se calcularon medidas de tendencia central y dispersión, así como frecuencias, para caracterizar el perfil general de los estudiantes. La prueba de Shapiro–Wilk se aplicó para verificar la normalidad de las variables. Para examinar las relaciones entre las variables, se aplicaron correlaciones bivariadas. En distribuciones no normales se utilizó el coeficiente de Spearman (ρ); en datos normales se empleó el Coeficiente de Pearson. Se analizaron las asociaciones entre los puntajes de las pruebas PSVT:V, PSVT:R y PSVT Total con los puntajes de la rúbrica analítica 2D-3D, así como la consistencia entre las dimensiones del PSVT, clasificándose los puntajes en tres niveles (bajo, medio y alto). Se empleó la prueba de Kruskal–Wallis para comparar diferencias en el desempeño proyectual. En tendencias significativas, se consideraron pruebas post hoc de Dunn y se estimó el tamaño del efecto con el coeficiente ε². Se construyeron tablas de contingencia entre los niveles categóricos de razonamiento espacial y desempeño proyectual. La asociación fue evaluada mediante Chi-cuadrado (χ²) y se utilizó el coeficiente V de Cramer para estimar la fuerza del efecto. La metodología, permitió establecer relaciones entre el nivel cognitivo evaluado y el desempeño práctico observado en estudiantes de arquitectura de primer ciclo, incrementando el desarrollo del razonamiento espacial (Xu & Huang, 2024).


Resultados

Se analizaron las dimensiones de visualización espacial (PSVT:V), rotación mental (PSVT:R) y razonamiento espacial total (PSVT Total), junto con el desempeño proyectual mediante la experiencia práctica de transición del diseño 2D al 3D. La media para PSVT:V y PSVT:R es idéntica (M = 22.571), con una mediana y moda ligeramente superiores en rotación mental, lo que sugiere una mayor consolidación de esta habilidad en comparación con la visualización espacial. El valor promedio del PSVT Total fue de 45.143 puntos, lo que representa un nivel general medio-alto de razonamiento espacial. Esto se obtuvo sobre un máximo de 60, con una desviación estándar de 6.271. La media del desempeño proyectual en la experiencia práctica evaluada con la rúbrica analítica 2D-3D de 20 puntos fue de 13.333 (DE = 2.352), ubicando a la mayoría en un nivel medio. Las variaciones entre estudiantes sugieren diferencias individuales en habilidades espaciales para la metodología de transición del diseño 2D al 3D, reflejando una base cognitiva adecuada. Los estadísticos descriptivos de las variables evaluadas se presentan en la Tabla 1.


Tabla 1

Estadísticos descriptivos: visualización espacial (PSVT:V), Rotación mental (PSVT:R) Razonamiento espacial total (PSVT total) y Rúbrica analítica 2D-3D

 La moda se calcula asumiendo que las variables son discretas.
Nota. Esta tabla muestra los estadísticos descriptivos de las variables cognitivas y de desempeño proyectual


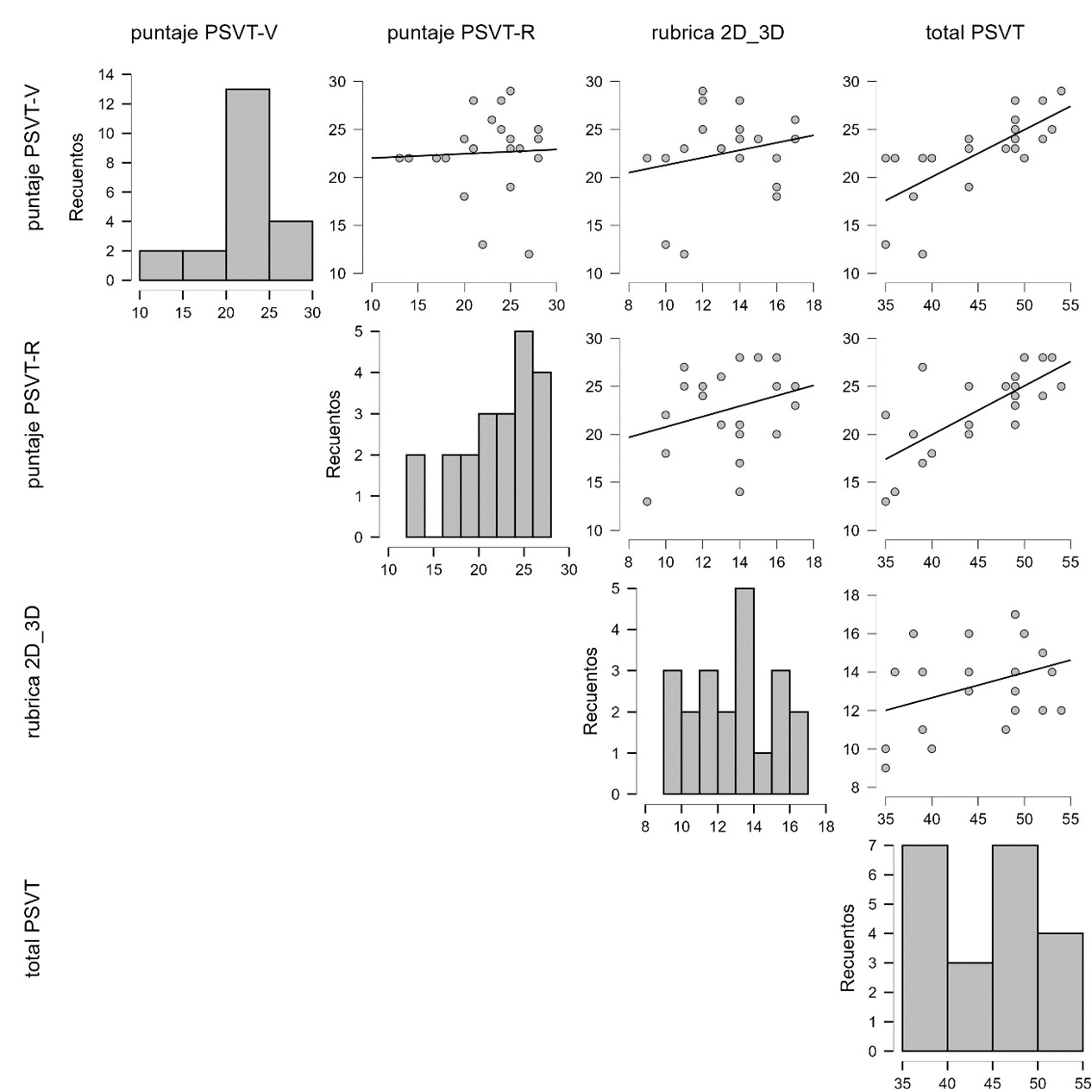
La prueba de normalidad de Shapiro–Wilk arrojó valores de p < .05 para PSVT:V (p = .027) y PSVT Total (p = .048), indicando distribución no normal para estas variables. Mientras que para PSVT:R (p = .119) y la rúbrica analítica 2D–3D (p = .452) mostraron distribución normal (p > .05). Se aplicaron pruebas paramétricas y no paramétricas según la naturaleza de cada variable. Se encontraron asociaciones positivas entre las dimensiones del PSVT total y la rúbrica analítica 2D-3D, según el análisis de correlación. Se obtuvo un coeficiente de correlación de r = 0.291 (p = .200) entre PSVT:R y la rúbrica analítica 2D–3D. Se obtuvo un coeficiente de correlación de ρ = 0.303 (p = .179) entre el PSVT Total y la rúbrica analítica 2D-3D. La correlación más débil se observó entre PSVT:V y la rúbrica analítica 2D-3D (ρ = 0.152; p = .500). La correlación entre PSVT:V y PSVT:R fue fuerte (ρ = 0.789; p < .001), indicando una consistencia interna alta en el instrumento PSVT. Se compararon los niveles de razonamiento espacial con el puntaje de la rúbrica analítica 2D-3D. El grupo con nivel alto en PSVT Total obtuvo un puntaje medio superior en la rúbrica (M = 13.91) en comparación con el grupo de nivel medio (M = 12.70). Aunque la prueba de Kruskal–Wallis no mostró diferencias estadísticamente significativas (H = 1.139; p = .286), el tamaño del efecto fue medio (ε² = 0.057), indicando una posible tendencia. Se categorizaron las variables PSVT Total y rúbrica analítica 2D-3D en niveles (bajo, medio, alto) en un análisis de contingencia. La prueba de Chi-cuadrado (χ² = 5.214; gl = 2; p = .074) indicó una asociación cercana al umbral de tendencia, pero no alcanzó significación estadística. Un tamaño de efecto medio fue de 0.387 para el coeficiente V de Cramer. Los estudiantes con nivel alto en PSVT total obtuvieron un desempeño medio o alto en la rúbrica analítica 2D-3D. Por otro lado, los estudiantes con nivel medio en razonamiento espacial mostraron mayor dispersión. En conjunto, los resultados entregan una visión clara del perfil espacial de los estudiantes y su relación con el desempeño en diseño tridimensional. Los patrones observados respaldan la utilidad del PSVT como herramienta diagnóstica en contextos educativos y justifican estrategias pedagógicas diferenciadas desde etapas iniciales de formación en arquitectura, aunque no se demuestra asociaciones estadísticamente concluyentes. La Figura 5 muestra una tendencia positiva entre las puntuaciones del PSVT-V, PSVT-R, la rúbrica analítica 2D–3D y el total PSVT. Los histogramas reflejan concentraciones altas en los puntajes de visualización y rotación espacial, y una distribución más dispersa en el desempeño 2D–3D. Las correlaciones gráficas evidencian coherencia entre las pruebas cognitivas y la ejecución proyectual tridimensional.


Figura 5
Matriz de dispersión entre las dimensiones del razonamiento espacial y el desempeño proyectual

Además, se elaboró una tabla de contingencia (Tabla 2) para complementar la evidencia de la figura 5, que permite observar la distribución cruzada de los niveles de razonamiento espacial (PSVT total) y el desempeño proyectual evaluado mediante la rúbrica 2D–3D. Evidencia una tendencia positiva: el 81.8 % de los estudiantes con nivel alto de PSVT alcanzó un desempeño medio y el 18.2 % un desempeño alto, mientras que el 30 % de los estudiantes con nivel medio en PSVT obtuvo un desempeño bajo. Aunque la prueba chi-cuadrado no alcanza significancia estadística (χ² = 5.214; p = .074), los resultados sugieren una correspondencia funcional entre el desarrollo del razonamiento espacial y la ejecución proyectual tridimensional.


Tabla 2
Relación entre el nivel total del PSVT y el nivel de desempeño proyectual (rúbrica analítica 2D–3D)

Valor de p = .074, X2 = 5.214
Nota. Aunque la prueba χ² no alcanzó significancia estadística (p = .074), se aprecia una tendencia consistente: un mayor razonamiento espacial total se asocia con mejores niveles de desempeño proyectual.


Cualitativamente, los modelos 3D físicos de los estudiantes revelaron diferencias en la expresión de su razonamiento espacial, más allá de los datos estadísticos. Los estudiantes con alto nivel de razonamiento espacial, demostraron habilidades superiores para transformar diseños bidimensionales en volúmenes complejos y coherentes. Mostraron un manejo consciente de la organización formal, la escala y la profundidad. Los modelos 3D físicos con alto rendimiento reproducen y extienden patrones 2D, creando estructuras complejas y dinámicas en el espacio con variaciones de altura y sustracción. Los estudiantes con niveles medios de razonamiento espacial mostraron dificultades para la representación tridimensional en sus trabajos, siendo mas rígidos. En muchos casos, la transición del 2D al 3D se limitó a una simple extrusión de formas planas, sin integración formal o comprensión clara de las relaciones espaciales. Los modelos 3D físicos con puntajes altos suelen tener mayor complejidad y dinamismo que las de desempeño medio. Estas diferencias, ilustradas en los trabajos de los estudiantes (Figura 6 y 7), confirman la relevancia pedagógica del PSVT como herramienta diagnóstica y justifican el diseño de estrategias diferenciadas de enseñanza del diseño en Arquitectura.


Figura 6
Modelos tridimensionales de estudiantes con alto nivel de razonamiento espacial, mostrando la transformación de composiciones bidimensionales en estructuras espaciales complejas y dinámicas


Figura 7
Modelos tridimensionales de estudiantes con razonamiento espacial medio, presentando una transición del diseño bidimensional al tridimensional limitado a extrusiones básicas y poco integradas formalmente


Discusión

Los estudiantes de primer ciclo de arquitectura de una Universidad Nacional en Huánuco - Perú presentan niveles medios-altos de razonamiento espacial, destacándose la rotación mental, similar a hallazgos anteriores donde la rotación mental suele a estar más desarrollada en las fases iniciales cuando se tiene cierta familiaridad con espacios tridimensionales (Porat & Ceobanu, 2024), (Tiwari et al., 2024). Se demuestra una fuerte relación interna entre PSVT:V y PSVT:R, justificándose el uso eficiente del Purdue Spatial Visualization Test (PSVT) como un instrumento de análisis del razonamiento espacial. Aunque las correlaciones entre el PSVT y el desempeño proyectual no alcanzaron significancia estadística, existe una tendencia positiva consistente: los estudiantes con mayor puntaje en el PSVT lograron mejores resultados en la rúbrica analítica de transición del diseño 2D al 3D. Este patrón sugiere que el razonamiento espacial puede influir en la capacidad de transformar composiciones bidimensionales en volúmenes tridimensionales coherentes. El desarrollo de estas habilidades cognitivas repercute en el aprendizaje proyectual, según los resultados, siendo relevantes en el ámbito educativo. Esta interpretación se refuerza con las diferencias cualitativas del modelo 3D físicos. Los estudiantes con razonamiento espacial alto generaron volúmenes dinámicos y jerarquizados al mostrar un manejo claro de la profundidad, escala y organización formal. Quienes obtuvieron puntajes medios tendieron a realizar extrusiones rígidas y planas, con menor coherencia tridimensional en contraste. Al traducir los datos en manifestaciones observables dentro del aula, estas evidencias aportan un valor pedagógico adicional.

La metodología de transición del diseño 2D al 3D permitió evidenciar cómo las habilidades del razonamiento espacial se expresan a través de la experiencia práctica, no solo estimuló competencias cognitivas, sino que también ofreció una estructura clara para guiar el proceso de transformación de representaciones bidimensionales a volúmenes coherentes, tal como lo plantea Duval en su teoría de registros semióticos destacando la importancia de transitar entre diferentes formas de representación, siendo respaldado también por los postulados de Piaget, Howard Gardner y por experiencias como la de Lara & Parra (2022), quienes hallaron dificultades puntuales en la rotación mental de estudiantes universitarios, proponiendo como alternativa el uso de tecnologías inmersivas y herramientas diagnósticas como el PSVT.

El alcance del estudio corresponde a una muestra reducida de estudiantes de primer ciclo de una Universidad Nacional en Huánuco-Perú. Por tanto, los hallazgos no son generalizables a toda la población de estudiantes de arquitectura, pero ofrecen tendencias transferibles a contextos formativos iniciales similares. La ausencia de grupo control, el tamaño de la muestra y el diseño no experimental constituyen limitaciones que invitan a replicar la investigación en escenarios más amplios y diversos, No obstante, la consistencia interna del instrumento utilizado y las tendencias observadas fortalecen la validez del estudio.


Conclusiones

Se confirma que los estudiantes del primer ciclo de Arquitectura de una Universidad Nacional en Huánuco-Perú, presentan un nivel medio-alto de razonamiento espacial, con un mejor desempeño en la rotación mental frente a la visualización espacial. Este diagnóstico inicial resulta clave para orientar la enseñanza del diseño arquitectónico desde las primeras etapas de formación. Aunque las correlaciones entre el PSVT:V, PSVT:R y el rendimiento proyectual no fueron significativas, se observaron tendencias positivas consistentes: los estudiantes con mayor de razonamiento espacial tienden a desempeñarse mejor en la transformación de representaciones bidimensionales en modelos tridimensionales. Esta tendencia se manifestó en las diferencias cualitativas de los modelos 3D físicos, cuyos altos puntajes mostraron dominio de profundidad, escala y organización formal, en tanto que los puntajes medios presentaron composiciones más rígidas y planas. La metodología logró evidenciar la forma en que se manifiestan realmente estas habilidades, apoyando su efectividad como estrategia de enseñanza.

Los datos respaldan el valor pedagógico del Purdue Spatial Visualization Test (PSVT) como herramienta diagnóstica inicial, útil para diseñar estrategias de acompañamiento diferenciado, y a futuro, se sugiere repetir el estudio con muestras más amplias, incorporando análisis cualitativos como diarios reflexivos o entrevista además de explorar la aplicación de tecnologías emergentes tales como la realidad virtual y aumentada, que podrían enriquecer el desarrollo del pensamiento tridimensional desde los primeros niveles del currículo académico en arquitectura.


Aprobación final del artículo

MSc. Arq. Andrea Castro Marcucci, editora en jefe.


Contribución de autoría

Bethsy Liliana Serrano-Mariño: Autora responsable del proyecto de investigación.


Disponibilidad de los datos

Los datos utilizados en esta investigación no están disponibles en una base de datos pública. Sin embargo, los interesados en acceder al conjunto de datos pueden solicitarlos directamente al autor de correspondencia: Bethsy Liliana Serrano-Mariño.


Referencias

Amro, D. K., & Dawoud, H. (2024). Influencing factors of spatial ability for architecture and interior design students: a fuzzy DEMATEL and interpretive structural model. Buildings, 14(9), 2934. https://doi.org/10.3390/buildings14092934

Bartlett, K. A., & Camba, J. D. (2023). Is this a real 3D shape? An investigation of construct validity and item difficulty in the PSVT:R. Visual Cognition, 31(3), 235–255. https://doi.org/10.1080/13506285.2023.2250508

Da Silva, C. V., Pereira, F. A., De Campos Belém, B., Ferreira, L. K. R., De Jesus Oliveira, L., Silva, J. D. S., Da Silva Vasconcelos, A. C., & De Oliveira Neves, L. E. (2024). Estudo sobre a Teoria da Aprendizagem de Jean Piaget. https://doi.org/10.51473/ed.al.edi10

Gomez-Tone, H. C., Martin-Gutierrez, J., & Valencia-Anci, B. K. (2021). Spatial skills training through drawing architectural spaces inside immersive virtual reality. In Smart innovation, systems and technologies (pp. 383–393). https://doi.org/10.1007/978-981-16-5063-5_31

Guay, R., Foundation, P. R., & Collection, E. T. S. T. (1976). Purdue Spatial Visualization Test.

Hong, J., Hnatyshyn, R., Santos, E. a. D., Maciejewski, R., & Isenberg, T. (2024). A survey of designs for combined 2D+3D visual representations. IEEE Transactions on Visualization and Computer Graphics, 30(6), 2888–2902. https://doi.org/10.1109/tvcg.2024.3388516

Korites, B. (2023). Graphics in three dimensions. In Apress eBooks (pp. 107–148). https://doi.org/10.1007/978-1-4842-9660-8_3

Lacombe, N., & Dias, T. (2023). Développer les compétences de rotation mentale chez les élèves. Une revue systématique de littérature. Revue De Mathématiques Pour L’école, 240, 29–45. https://doi.org/10.26034/vd.rm.2023.4107

Lara, H. P., & Parra, C. a. O. (2022). Análisis de la prueba estandarizada(PSVT: R), como ruta de diagnóstico, para la intervencióncon instrumentos, facilitadores del desarrollo de la habilidad espacial de rotación, esencial, en la comprensiónde la GeometríaDescriptiva. Scientia Et Technica, 27(1), 52–60. https://doi.org/10.22517/23447214.24823

Lavicza, Z., Abar, C. a. a. P., & Tejera, M. (2023). Spatial geometric thinking and its articulation with the visualization and manipulation of objects in 3D. Educação Matemática Pesquisa Revista Do Programa De Estudos Pós-Graduados Em Educação Matemática, 25(2), 258–277. https://doi.org/10.23925/1983-3156.2023v25i2p258-277

Münster, S., Apollonio, F. I., Bluemel, I., Fallavollita, F., Foschi, R., Grellert, M., Ioannides, M., Jahn, P. H., Kurdiovsky, R., Kuroczyński, P., Lutteroth, J., Messemer, H., & Schelbert, G. (2024). Visualization. In Synthesis lectures on engineers, technology, and society (pp. 129–163). https://doi.org/10.1007/978-3-031-43363-4_7

Porat, R., & Ceobanu, C. (2024). Enhancing Spatial Ability: a new integrated hybrid training approach for engineering and architecture students. Education Sciences, 14(6), 563. https://doi.org/10.3390/educsci14060563

Qin, Y., Yu, W., Fu, X., & Liu, Y. (2022). Cognitive mechanisms of 2D-to-3D spatial information transformation in haptic recognition of 2D images. Advances in Psychological Science, 30(8), 1804. https://doi.org/10.3724/sp.j.1042.2022.01804

Santos, C. E., Dias, M. A., & Braida, F. (2023). Spatial skills and the education of architecture and urbanism: use of Minecraft game for shape and geometry study. Blucher Design Proceedings, 687–698. https://doi.org/10.5151/sigradi2022-sigradi2022_224

Suciati, R. A., Sobarningsih, N., Sugilar, H., Farlina, E., & Juariah, N. (2023). Students’ error analysis in solving three dimensional problems in terms of spatial ability. AIP Conference Proceedings, 2634, 050005. https://doi.org/10.1063/5.0119743

Tiwari, S., Shah, B., & Muthiah, A. (2024). A Global overview of SVA—Spatial–Visual Ability. Applied System Innovation, 7(3), 48. https://doi.org/10.3390/asi7030048

Xu, C., & Huang, Y. (2024). Technological Innovation in Architectural Design Education: Empirical analysis and future directions of midjourney intelligent drawing software. Buildings, 14(10), 3288. https://doi.org/10.3390/buildings14103288

Zich, U. (2023). Origami and Descriptive Geometry: tangible models to enhance spatial skills. Nexus Network Journal, 25(S1), 277–284. https://doi.org/10.1007/s00004-023-00694-4


Fuentes ilustraciones y tablas

Figura 1. Elaboración propia (2025).

Figura 2. Elaboración propia (2025).

Figura 3. Elaboración propia (2025).

Figura 4. Elaboración propia a través del software JASP (2025).

Figura 5. Elaboración propia (2025).

Figura 6. Elaboración propia (2025).

Figura 6. Elaboración propia (2025).