Resiliencia y rendimiento académico: revisión sistemática y metaanálisis

Resilience and Academic Performance: Systematic Review and Meta-analysis

Resiliência e desempenho acadêmico: revisão sistemática e meta-análise


DOI: https://doi.org/10.18861/cied.2026.17.1.4190


Yenniffer Sáez-Delgado
Universidad Católica de la Santísima Concepción
Chile
ysaez@magisteredu.ucsc.cl
https://orcid.org/0000-0002-4722-8702

Angelica Vera-Sagredo
Universidad Católica de la Santísima Concepción
Chile
avera@ucsc.cl
https://orcid.org/0000-0003-1657-2241

Javier Mella-Norambuena
Universidad de Las Américas
Chile
javier.mella@edu.udla.cl
https://orcid.org/0000-0002-4288-142X


Recibido: 24/06/25
Aprobado: 26/08/25


Cómo citar:
Sáez-Delgado, Y., Vera-Sagredo, A., & Mella-Norambuena, J. (2026). Resiliencia y rendimiento académico: revisión sistemática y metaanálisis.
Cuadernos de Investigación Educativa, 17(1). https://doi.org/10.18861/cied.2026.17.1.4190


Resumen

El propósito de este estudio consistió en analizar de manera sistemática las investigaciones cuantitativas acerca de la resiliencia y su influencia en el rendimiento académico de estudiantes universitarios, además de determinar la naturaleza y magnitud de la relación entre ambas variables. Este análisis se llevó a cabo a través de una revisión exhaustiva de la literatura y un posterior metaanálisis, que abarcó un total de 22 y 7 estudios respectivamente, publicados entre 2013 y 2023 y extraídos de las bases de datos de WOS y Scopus. Los resultados obtenidos revelaron una carencia de modelos teóricos bien definidos para el concepto de resiliencia, identificando un total de 10 definiciones distintas utilizadas en los estudios analizados. Además, se identificaron 15 instrumentos variados para medir la resiliencia y se destacaron 5 limitaciones metodológicas recurrentes en la investigación existente. El metaanálisis realizado arrojó un tamaño de efecto de magnitud moderada, calculado en 0.286, lo que indica una relación significativa y positiva entre la resiliencia y el rendimiento académico en estudiantes universitarios. En resumen, este estudio concluye que existe una correlación positiva entre la resiliencia y el desempeño académico en el contexto universitario, a pesar de la falta de una definición consensuada de resiliencia y las limitaciones metodológicas identificadas en la literatura investigada.

Palabras clave: resiliencia, rendimiento académico, estudiantes universitarios, metaanálisis, revisión sistemática.


Abstract

The purpose of this study was to systematically analyze quantitative research on resilience and its influence on the academic performance of university students, as well as to determine the nature and magnitude of the relationship between both variables. This analysis was carried out through a comprehensive literature review and a subsequent meta-analysis, covering a total of 22 and 7 studies, respectively, published between 2013 and 2023 and extracted from the WOS and Scopus databases. The results obtained revealed a lack of well-defined theoretical models for the concept of resilience, identifying a total of 10 different definitions used in the studies analyzed. In addition, 15 varied instruments for measuring resilience were identified, and five recurrent methodological limitations in the existing research were highlighted. The meta-analysis conducted yielded an effect size of moderate magnitude, calculated at 0.286, indicating a significant and positive relationship between resilience and academic performance in college students. In summary, this study concludes that there is a positive correlation between resilience and academic performance in the university context, despite the lack of a consensus definition of resilience and the methodological limitations identified in the literature reviewed.

Keywords: resilience, academic achievement, university students, meta-analysis, systematic review.


Resumo

O objetivo deste estudo foi analisar sistematicamente a pesquisa quantitativa sobre a resiliência e sua influência no desempenho acadêmico de estudantes universitários, determinando a natureza e a magnitude da relação entre as duas variáveis. Essa investigação foi realizada por meio de uma revisão abrangente da literatura e de uma meta-análise posterior, englobando 22 e 7 estudos, respectivamente, publicados entre 2013 e 2023 e extraídos dos bancos de dados Web Of Science (WOS) e Scopus. Os resultados revelaram a ausência de modelos teóricos bem definidos sobre o conceito de resiliência, com a identificação de um total de dez definições diferentes usadas nos estudos analisados. Também foram encontrados 15 instrumentos variados para medir a resiliência, além de cinco limitações metodológicas recorrentes nas pesquisas existentes. A meta-análise produziu um tamanho de efeito de magnitude moderada, calculado em 0,286, indicando uma relação significativa e positiva entre resiliência e desempenho acadêmico em estudantes universitários. Em resumo, este estudo conclui que há uma correlação positiva entre a resiliência e o desempenho acadêmico no contexto universitário, apesar da falta de uma definição consensual de resiliência e das limitações metodológicas identificadas na literatura pesquisada.

Palavras-chave: resiliência, desempenho acadêmico, estudantes universitários, meta-análise, revisão sistemática.


Introducción


El rol de la resiliencia del estudiantado en el contexto universitario

La resiliencia se define como la capacidad o fortaleza que permite a las personas sobreponerse a situaciones adversas y continuar avanzando hacia un futuro positivo. También ha sido conceptualizada como la manifestación de resultados óptimos en el desarrollo o una adaptación satisfactoria a pesar de la exposición a circunstancias amenazantes, tras un proceso de lucha significativa (Prihadi et al., 2018). En este sentido, puede entenderse como un conjunto de fortalezas internas que permiten afrontar eficazmente experiencias difíciles y estresantes. Numerosas investigaciones han puesto de relieve su importancia en la vida cotidiana, vinculándola con el crecimiento postraumático, la disminución del riesgo de trastornos de personalidad obsesivo-compulsivos y la capacidad de los individuos para mantenerse firmes frente al fracaso y continuar con sus metas (Prihadi et al., 2018). En el ámbito de la salud mental juvenil, la resiliencia ha sido considerada una herramienta preventiva clave frente a diversos problemas psicológicos (Auttama et al., 2021). Por ejemplo, un estudio con 3.753 estudiantes universitarios de primer año reveló que una alta resiliencia se asocia con un mejor estado de salud mental (Li et al., 2019).

En el contexto académico, la evidencia también ha destacado su relevancia. Una investigación realizada en 11 universidades de Ecuador, con 1.676 estudiantes, indicó que aquellos con mayores niveles de resiliencia tendían a continuar sus estudios, mientras que quienes abandonaban presentaban puntuaciones significativamente más bajas. Los autores concluyeron que fortalecer la resiliencia podría mejorar la retención universitaria, el rendimiento académico y las proyecciones vitales a futuro (Pertegal-Felices et al., 2022). De igual modo, un estudio con 314 estudiantes de Corea del Sur comprobó que la intención de abandono se correlaciona de manera negativa y significativa con la resiliencia (r = –.494, p < .01) (Lee & Jeon, 2022). En Bélgica, un análisis con 554 estudiantes de seis escuelas de enfermería reveló que una baja resiliencia se relaciona con conductas destructivas, antecedentes de intentos de suicidio, estrategias ineficaces para enfrentar el estrés y una mayor intención de abandonar los estudios. En contraste, la resiliencia elevada predijo el éxito académico, siendo el único factor que explicó de forma significativa la intención de abandono, el rendimiento académico y el abandono efectivo, superando variables como edad, género, educación previa, nacionalidad o responsabilidades familiares (López-Angulo et al., 2023; Van Hoek et al., 2019).

Frente a esta creciente evidencia, resulta crucial avanzar en la sistematización y síntesis del conocimiento existente sobre el rol de la resiliencia en el contexto universitario. La presente investigación cobra especial relevancia en tanto responde a esta necesidad, reconociendo el papel central de la resiliencia en la trayectoria académica y el bienestar integral del estudiantado. Si bien diversos estudios han evidenciado asociaciones significativas entre resiliencia, salud mental, retención académica y rendimiento, aún persiste la ausencia de una revisión rigurosa y comprensiva que permita identificar patrones consistentes, vacíos conceptuales y proyecciones para futuras investigaciones. En este sentido, un estudio metaanalítico que describa las características metodológicas y conceptuales de los estudios existentes y determine el tamaño del efecto de la relación entre resiliencia y rendimiento académico, aportará evidencia robusta para el diseño de intervenciones educativas eficaces y para la orientación de políticas institucionales que promuevan el éxito estudiantil en la educación superior.

En este contexto el presente estudio se propuso los siguientes objetivos específicos:

a. Describir las investigaciones empíricas cuantitativas sobre resiliencia y rendimiento académico respecto de modelos teóricos a la base, conceptualización e instrumentos de medida de resiliencia, características de los participantes (tamaño muestra, país, área disciplinar de la carrera) y limitaciones de los estudios.

b. Determinar la relación y tamaño del efecto entre la resiliencia y el rendimiento académico por medio de un enfoque metaanalítico.


Método

La presente investigación se basó en el método de Revisión Sistemática de la Literatura (en adelante RSL) y metaanálisis siguiendo las orientaciones y directrices de PRISMA (Moher et al., 2016), y las orientaciones para la publicación de Protocolos de Revisiones Sistemáticas y Metaanálisis para investigaciones en educación (Sánchez-Meca, 2022).


Primer proceso del método de RSL:
Búsqueda y selección de las investigaciones target sobre resiliencia y rendimiento académico en Educación Superior

A continuación, se describen en detalle 3 fases de la RSL que por una parte guiaron el proceso de levantamiento de la productividad científica, y por otra permite la réplica del proceso completo (ver Figura 1). La fase 1 corresponde a la Identificación de registros de investigaciones en las bases de datos. Se revisaron las bases de datos electrónicas Scopus y Web of Science (WOS). Para afinar la búsqueda en ambas bases de datos, se utilizó un algoritmo en inglés con las palabras ubicadas en el título "resilience" y “academic performance”, así como la palabra “higher education” ubicada en la sección del resumen, título o palabras claves, en todos los casos se incluyeron sus respectivos sinónimos. En las bases de datos, al introducir el algoritmo de búsqueda, se fueron aplicando filtros de área disciplinar (ciencias sociales, psicología y educación), también el tipo de documento (solo artículo), se filtró También por el período de tempos correspondiente a los últimos 10 años (2013-2023) y la última búsqueda se realizó el 20 de julio de 2023. Esta aplicación de filtros implicó la conformación de una sintaxis que permite la reproducibilidad de la búsqueda (Ver Tabla 1). También en esta fase se eliminaron los duplicados, es decir, aquellos registros que se encontraban repetidos por estar en ambas bases de datos.


Tabla 1
Sintaxis de la búsqueda


La fase 2 de cribado o elegibilidad implicó una revisión de los títulos de los estudios y sus resúmenes de los registros únicos seleccionados aquellos relacionados con los objetivos de la presente RSL. Es decir, se eligieron estudios empíricos vinculados a la temática de resiliencia y rendimiento académico en estudiantado de Educación Superior.

Posteriormente, en esta misma base se realizó la búsqueda de las investigaciones en extenso para poder realizar la lectura completa de estos y aplicar los criterios establecidos tanto de inclusión (investigaciones: empíricas, enfoque cuantitativo, tema centrado en resiliencia y en rendimiento académico), muestra de estudiantes universitarios.

Por otro lado, se consideraron criterios de exclusión: (a) investigaciones teóricas, revisiones narrativas, revisiones sistemáticas y/o metaanálisis; (b) estudios cuyo tema central no es la resiliencia, (c) la muestra diferente a estudiantes de Educación Superior de pregrado. Finalmente, la fase 3 de incluidos, implicó la evaluación del sesgo, por medio de un revisor independiente y validar la muestra final de estudios incluidos.


Figura 1
Flujograma del proceso de selección de artículos (PRISMA, 2021)


Segundo proceso del método:
Sistematización y extracción de la información de los estudios incluidos para la RSL y para el metaanálisis sobre resiliencia y rendimiento académico

Luego de disponer de la lista de investigaciones incluidas en esta RSL y metaanálisis respectivamente, se continuó con la extracción de información de cada estudio de forma sistematizada. Se construyó una matriz de extracción para responder a los objetivos establecidos. La matriz presenta las siguientes columnas para la extracción de información necesaria para la revisión sistemática:

a. un ID para la asignación correlativa y orden de los estudios analizados;

b. la cita, la cual luego será asociada al ID en la presentación de resultados;

c. modelos teóricos de resiliencia;

d. conceptualización de resiliencia;

e. limitaciones de los estudios declarados por los autores;

f. instrumentos para medir resiliencia;

g. carrera de los estudiantes participantes del estudio;

h. país de los participantes;

i. tamaño de las muestras.

En el caso del metaanálisis, se adicionó la extracción del estadístico de correlación reportado en cada estudio sobre la relación entre resiliencia y rendimiento académico.

Respecto de los ID, en la Tabla 2 presenta la enumeración de cada artículo seleccionado y su número de identificación (ID) que se utilizará para la presentación de los resultados.


Tabla 2
ID de la muestra de artículos seleccionados


Análisis de datos del metaanálisis

Como se ilustra en la Figura 1, el metaanálisis incluyó un total de siete estudios que cumplían con los criterios de disponibilidad y calidad de la información estadística sobre la relación entre resiliencia y rendimiento académico. Para el análisis, se empleó el coeficiente de correlación de Fisher, transformado de r a z, como medida de efecto. Se aplicó un modelo de efectos aleatorios a los datos, y la heterogeneidad (tau²) fue estimada mediante el método de máxima verosimilitud restringida (Viechtbauer, 2010). Asimismo, se reportan la prueba Q de heterogeneidad (Cochran, 1954) y el estadístico I². En presencia de heterogeneidad (tau² > 0), independientemente del resultado de la prueba Q, se incluye un intervalo de predicción para los efectos verdaderos esperados. Para identificar estudios potencialmente atípicos o influyentes dentro del modelo, se analizaron los residuos tipificados y las distancias de Cook. Se consideraron atípicos aquellos estudios con residuos tipificados superiores al percentil 100 × (1 − 0,05/(2 × k)) de una distribución normal estándar, aplicando una corrección de Bonferroni con α bilateral = 0,05. En tanto, se clasificaron como influyentes los estudios cuya distancia de Cook superaba la mediana más seis veces el rango intercuartílico de dichas distancias. Finalmente, se utilizó la prueba de correlación de rangos y la prueba de regresión —empleando el error estándar de los efectos observados como variable predictora— para evaluar la posible asimetría en el funnel plot (véase Pérez Navío et al., 2024).


Resultados


Modelos teóricos de resiliencia

Respecto de la identificación de modelos teóricos, en ninguno de los 22 estudios se proporcionó un modelo teórico de la resiliencia propiamente tal, aunque, algunos escasos estudios (n = 4) al menos mencionar una aproximación teórica para enmarcar la resiliencia. En este sentido, un estudio (García-Martínez et al., 2022) se posiciona desde la perspectiva de la psicología positiva citando a Salanova et al. (2009); un segundo estudio (Abubakar et al., 2021) identificó la resiliencia como un importante rasgo no cognitivo que los estudiantes necesitan desarrollar y adquirir citando a Kang et al. (2019); un tercer estudio (Tipismana, 2019) posiciona a la resiliencia dentro de la teoría sociocognitiva de Albert Bandura, que plantea como fundamento que las personas estudian observando la realidad a través de cómo los demás aprenden a desarrollar sus potencialidades, crear nuevos recursos, facilitar herramientas para comprender la naturaleza física y social en la que interactúa; finalmente, un cuarto estudio (Kotzé & Kleynhans, 2013) enmarcó la resiliencia como parte de la psicología positiva, que se centra en las fortalezas humanas que mejoran el bienestar mental y el funcionamiento óptimo en lugar de las debilidades y el mal funcionamiento. Pero, en definitiva, no se identificaron modelos teóricos en los estudios.


Conceptualización de resiliencia

De los 22 estudios incluidos en esta RSL, se identificaron 10 definiciones. De estas, es posible agrupar que 14 estudios la comprenden como capacidad (ID:1,3,4,5,6,7,8,9,11,13,14,19,20,21), 6 estudios como Proceso (ID:1,3,12,16,17,19), 1 estudio como Adaptación (ID: 2), 2 estudio como Probabilidad (ID: 4, 8), 1 estudio como Rango (ID:8), 1 estudio como Habilidad (ID:10), 2 estudios como Afrontamiento (ID: 11 y 18), 1 estudio como Desarrollo (ID: 15), 1 estudio como Competencia (ID:18), 1 estudio como Inclinación (ID 22).


Limitaciones de los estudios declarados por los autores

De los 22 estudios incluidos en esta RSL, se identificaron 5 limitaciones. De estos, es posible agrupar que 15 estudios se limitan por la muestra (ID:1,2,3,5,6,8,9,10,11,12,14,15,16,19,20), 7 estudios por la variable (ID:1,2,6,9,11,12,13), 11 estudios por el diseño (ID: 1,3,5,8,10,11,18,19,20,21,22), 9 estudios por el instrumento (ID: 3,6,9,13,17,18,19,20,21), 1 estudio por el dato (ID:6).


Instrumentos para medir resiliencia

De los 22 estudios, se identificaron 15 instrumentos para medir la variable resiliencia en estudiantes universitarios (Ver Tabla 3). En un estudio se usó más de un instrumento para medir esta variable (ID 5). La Escala de Resiliencia de Connor-Davidson (Connor & Davidson, 2003), fue la usada con más frecuencia en los estudios, específicamente por seis investigaciones.


Tabla 3
Instrumentos usados en los estudios para medir resiliencia


Característica de los participantes (carrera)

Respecto de las carreras (ver Tabla 4), se incluyeron del área de educación fueron 3 (ID: 3, 9, 18), del área de la salud son 3 (ID: 5, 8, 12), área de psicología son 2 (ID: 11, 21), área de administración de empresas que fueron 2, (ID: 1, 7), de área de Bachillerato es 1 (ID: 22). Otros no especificaron la carrera los cuales fueron 7(ID: 4, 6, 10, 13, 16, 19, 20) y los de más de un área fueron 4 (ID: 2, 14, 15 y 17).


Tabla 4
Carrera a la cual pertenecen los participantes de los 22 estudios analizados

Característica de los participantes (país)

Respecto de los países (ver Tabla 5), fueron 8 del continente europeo, (ID: 1,3,4,5,9,10,19,22), seguido de 5 del continente de América del norte, (ID: 14,16,17 y 18), fueron 4 del continente asiático, (ID: 6,8,11 y 13), fueron 2 del continente africano (ID: 7 y 21), 1 fue del continente Oceanía, (ID: 20), 1 del continente Medio oriente, (ID: 12), 1 del continente Europa-asiático, (ID: 2),1 del continente de América del sur (ID:15).


Tabla 5

Participantes de los 22 estudios analizados por país


Característica de los participantes (tamaño muestral)

Respecto de los participantes (ver Tabla 6), fueron según el rango 0-300 son 11 estudios (ID: 4, 5, 8, 11, 12, 13, 14, 16, 17, 18, 20), seguido de 301-500 son 3 estudios, (ID:1,10,21), luego 501-1000 son 5 estudios (ID: 2,6,7,15,20), por último, desde 1000 y más fueron 3 estudios (ID: 3,9,19).


Tabla 6
Participantes de los 22 estudios analizados por N.° de muestra


Resultados del metaanálisis

El análisis incluyó un total de k = 7 estudios. Los coeficientes de correlación de Fisher transformados de r a z observados oscilaron entre 0.009 y 0.725, y en todos los casos, las estimaciones resultaron positivas (100 %). La media estimada del coeficiente de correlación transformado de r a z de Fisher basado en el modelo de efectos aleatorios fue de \hat{\mu} = 0.286 (IC del 95 %: 0.109 a 0.464). Por lo tanto, el resultado medio difería significativamente de cero (z = 3.168, p = 0.001).

La Tabla 7 presenta los resultados de la prueba de heterogeneidad que indica la existencia de heterogeneidad significativa entre los 7 estudios (Q (6) = 130.4206, p < 0.0001), variabilidad considerable entre los efectos de los estudios individuales (tau²=0.053) y variabilidad observada (I² = 96.584 %).) indicando que los estudios provienen de una población diferente.


Tabla 7
Estadísticas de heterogeneidad


La Tabla 8 presenta los resultados del sesgo de publicación; el
Fail-Safe N indica que serían necesarios al menos 1.160 estudios no encontrados o no publicados con resultados nulos para que los resultados del metaanálisis actual sean insignificantes. Por su parte, la prueba de Regresión de Egger indica la posible existencia de asimetría en los datos, sin embargo, en este metaanálisis no resultó significativo (p < 0.095). Esto sugiere que es poco probable la existencia de un sesgo de publicación, es decir, donde los estudios con resultados significativos tienen más probabilidades de ser publicados que aquellos con resultados no significativos.


Tabla 8
Evaluación del sesgo de publicación

Nota. Cálculo de N a prueba de fallos mediante el método de Rosenthal.


Un intervalo de predicción del 95 % para resultados reales es concedido por -0.200 a 0.773. Por lo tanto, aunque se estima un resultado medio positivo, cabe la posibilidad que algún estudio su resultado real podría ser negativo. Un examen de los residuos analizados evidenció que un estudio (Miraj
et al., 2021) tenía un valor superior a ± 2.690 y pudiera ser un posible valor atípico en el contexto del presente modelo. Según las distancias de Cook, es importante señalar, que ninguno de los estudios se puede considerar excesivamente influyente. Por otro lado, la correlación de rangos y la prueba de regresión (Ver Figura 2) no mostraron asimetría en el funnel plot (p = 0.773 y p = 0.095, respectivamente).


Figura 2
Funnel Plot


La Tabla 9 establece los resultados del modelo de efectos aleatorios para los 7 estudios; el análisis estima un tamaño de efecto mediano de 0.286, es decir, dado que su aproximación estadística es 0.3 (Cohen, 1988). Sin embargo, debido a la variabilidad entre los estudios, el verdadero efecto poblacional puede estar en el rango de 0.109 a 0.464, con un nivel de confianza del 95 %.


Tabla 9
Modelo de efectos aleatorios (k = 7)

Nota. Tau² Estimador: Máxima verosimilitud restringida.


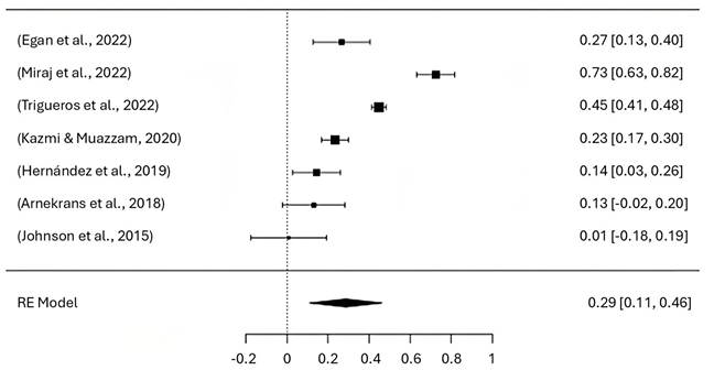
La Figura 3 presenta el diagrama de bosque que incluye 7 tamaños de efecto representados por rectángulos en la columna central y líneas horizontales que indican los intervalos de confianza del 95 %. La línea vertical discontinua representa la ausencia del efecto, mientras que el diamante indica el resultado combinado. El diamante está ubicado a la derecha de la línea vertical, lo que indica una correlación significativa y positiva entre las dos variables analizadas en este estudio (Resiliencia y rendimiento académico).


Figura 3
Forest Plot


Discusión y conclusiones

A continuación, se discuten los hallazgos de este estudio referidos a la revisión sistemática y al metaanálisis. Así también se precisan limitaciones y futuras líneas de investigación.


Discusión sobre los hallazgos referidos a los modelos teóricos de resiliencia

Respecto de la identificación de modelos teóricos, en ninguno de los 22 estudios se proporcionó un modelo teórico de la resiliencia propiamente tal, aunque, algunos escasos estudios al menos mencionan una aproximación teórica para enmarcar la resiliencia. Esto es particularmente interesante, dado que cuando se explora la literatura, es posible identificar modelos teóricos de resiliencia. Por ejemplo, un estudio habla sobre el poder de la resiliencia y propone un modelo teórico para capacitar, animar y retener a los profesores (ver Figura 4) (Taylor, 2013); mientras que otro estudio (Vella & Pai, 2019) llevó a cabo una revisión teórica de la resiliencia psicológica y también estos autores proponen un modelo teórico (Ver Figura 5). Por lo que se debería precisar en las investigaciones empíricas el modelo teórico que se utilizará en el estudio.


Figura 4
Modelo de resiliencia del educador


Figura 5
Modelo teórico de resiliencia


Discusión sobre los hallazgos referidos a la conceptualización de resiliencia

El análisis de los estudios de esta RSL, identificó 10 definiciones de resiliencia, que la comprenden como capacidad, proceso, adaptación, probabilidad, rango, habilidad, afrontamiento, desarrollo, competencia e inclinación. Esto está en coherencia con un estudio que se propuso abordar algunas de las cuestiones actuales más apremiantes en el campo de la investigación sobre la resiliencia, donde el énfasis principal se focalizó en delimitar cómo se define este constructo y en el cual participaron expertos de diferentes disciplinas (Southwick et al., 2014). En los resultados se encontraron múltiples conceptualizaciones, pero también se encontró que la mayoría de las definiciones incluían un concepto de resiliencia comprendido como el funcionamiento positivo, saludable, adaptativo o integrado a lo largo del tiempo tras la adversidad.

También los expertos coincidieron en que la resiliencia es un constructo complejo y puede definirse de forma diferente en el contexto de los individuos, las familias, las organizaciones, las sociedades y las culturas. Otro estudio (Vella & Pai, 2019), tuvo por propósito revisar las definiciones de resiliencia a lo largo del tiempo, y sus resultados evidenciaron que no existe una definición única acordada, pero el consenso es describirla como la capacidad de recuperarse, por esto, lo autores concluyeron en lo imperativo que es avanzar hacia una visión unificada del constructo de resiliencia, dado que, aunque la investigación sobre resiliencia ha progresado y evolucionado a lo largo de las décadas, aún no está completa. Otro estudio de revisión (Sisto et al., 2019), también identificó múltiples definiciones de resiliencia, sin embargo, con base en sus hallazgos, los autores propusieron una definición del constructo de resiliencia psicológica, la cual consideró los elementos transversales encontrados en las definiciones con la finalidad de avanzar hacia “una unificación conceptual” del término.

A partir de los antecedentes analizados, para construir su definición afirmaron que la resiliencia: (a) es la capacidad de adaptarse positivamente a las condiciones de vida; (b) es un proceso dinámico que evoluciona con el tiempo y que implica un tipo de funcionamiento adaptativo que específicamente nos permite afrontar las dificultades recuperando un equilibrio inicial o rebotando como oportunidad de crecimiento; (c) es la capacidad de mantener la propia orientación hacia propósitos existenciales a pesar de soportar adversidades y eventos estresantes; y (d) prevé una actitud de perseverancia ante el obstáculo y apertura al cambio. Por lo tanto, integraron estas consideraciones definiéndola como la capacidad de afrontar con perseverancia las dificultades vividas en los diferentes ámbitos de la vida, manteniendo una buena conciencia de uno mismo y de la propia coherencia interna y paralela, activando un proyecto de crecimiento personal.


Discusión sobre los hallazgos referidos a las limitaciones de los estudios declarados por los autores

Se identificaron 5 limitaciones correspondientes a la muestra, la variable, el diseño, el instrumento, y los datos. Se puede observar que son principalmente limitaciones metodológicas. Al respecto, un estudio analizó investigaciones empíricas sobre cómo las limitaciones metodológicas y las cuestiones subyacentes atrae sesgos de algún tipo a la comunicación de los resultados y advierte la fragilidad (variabilidad y sensibilidad) de los resultados empíricos (Moosa, 2019). Así también otro estudio destacó que los errores y sesgos metodológicos de los estudios publicados comprometen la fiabilidad de la investigación empírica, lo que supone una amenaza para el proceso acumulativo de investigación y para la toma de decisiones basada en pruebas (Bruns et al., 2019).


Discusión sobre los hallazgos referidos a los instrumentos para medir resiliencia

Se identificaron 15 instrumentos para medir la variable resiliencia en estudiantes universitarios. Esto deja en evidencia la discrepancia a la base del constructor de resiliencia. Cuando no hay un consenso en la investigación respecto del modelo teórico y sus respectivas dimensiones, como es el caso del concepto de resiliencia, que como ya se discutió, se identificaron una variedad de definiciones. Por tanto, como consecuencia, es esperable que también exista un número diverso de instrumentos para su medición. Esto resulta preocupante, dado que los instrumentos son indicadores fundamentales de la rigurosidad metodológica de una investigación y de la validez de sus resultados. Este problema ya ha sido advertido por investigadores, por ejemplo, Díaz-Mujica et al. (2022), estimó la coherencia metodológica entre las definiciones explicitadas y las escalas para medir la variable de autoeficacia en la educación superior. Los datos obtenidos evidenciaron la controversia respecto a las definiciones, mostrando que un porcentaje notable de los estudios carecía de coherencia y presentaron inconsistencias entre la definición autoeficacia considerada y la escala de medición empleada. Los autores concluyen que: estas incoherencias disminuyen la claridad del diseño metodológico, limitan el alcance de sus resultados y la replicabilidad de la respectiva investigación. Lo mismo sugiere Sáez-Delgado et al. (2023), que en un estudio reciente propuso un modelo teórico-empírico de la variable autorregulación del aprendizaje, donde da cuenta de la coherencia de la definición del constructo de autorregulación con respecto al instrumento usado en el estudio. Por lo tanto, se requiere que exista un consenso mayor respecto de la operacionalización del constructo de autoeficacia y su concordancia con los instrumentos que se diseñan o validan para su medición (Jinyuan et al., 2016).


Discusión sobre los hallazgos referidos a las características de los participantes (carrera país, tamaño muestral)

Respecto de las carreras, se incluyeron del área de educación, salud, psicología, administración de empresas, Bachillerato. Sin embargo, no se identificaron estudios sobre la resiliencia en carreras denominadas STEM por sus siglas en inglés (ciencia, tecnología, ingeniería y matemáticas), lo que resulta cuestionable, puesto que estas son las que presentan abrumadoras tasas de abandono (solo el 30 % completa la carrera en los años esperados y el 50 % abandona) (Casanova et al., 2021; Lobos et al., 2021; Mella-Norambuena et al., 2021); por lo tanto, se esperaría que se analice en este grupo de estudiantes la resiliencia. Lo anterior se justifica en que la resiliencia ha demostrado un papel clave en ayudar a los estudiantes a superar retos, gestionar su bienestar y completar sus estudios (Brewer et al., 2019).

Respecto de los países, los estudios de resiliencia en universitarios se han realizado principalmente en Europa y América del Norte, sin embargo, un solo estudio se identificó en América Latina. Esto es consistente con revisiones sistemáticas de la literatura en variables similares, del área de la psicología educativa vinculadas a los procesos de enseñanza y aprendizaje en estudiantes universitarios, como la autorregulación del aprendizaje (Sáez-Delgado et al., 2018, 2020) y la autoeficacia (Díaz-Mujica et al., 2022). Lo anterior confirma la necesidad de aumentar la productividad científica en la región latinoamericana.

Respecto de los participantes, el rango más frecuente utilizado fue hasta 300 participantes. En relación con esto, la delimitación de los tamaños muestrales son un paso importante a la hora de diseñar un estudio empírico y también la muestra final recolectada puesto que proporcionan información valiosa con fines inferenciales de los resultados de un determinado estudio (Lakens, 2022). Es decir, para generalizar a partir de una muestra y evitar errores o sesgos de muestreo, una muestra debe tener un tamaño adecuado, sin embargo, decidir que es adecuado depende de varias cuestiones que se requieren considerar. Esto se debe a que lo importante no es la proporción de la población de investigación, sino el tamaño absoluto de la muestra seleccionada en relación con la complejidad de la población, los objetivos del investigador y el tipo de manipulación estadística que se utilizará en el análisis de los datos (Taherdoost, 2016). Aunque hay consenso en la literatura, respecto de que cuanto mayor sea la muestra, menor será la probabilidad de que los resultados sean sesgados (error de muestreo) (Taherdoost, 2017).


Discusión de los resultados del metaanálisis

Los estudios individuales evidenciaron relaciones significativas y positivas entre la resiliencia y el rendimiento académico en estudiantes universitarios; así también, los resultados del metaanálisis para los 7 estudios estimaron un tamaño de efecto mediano de 0.286. Este resultado empírico obtenido del presente metaanálisis que da cuenta de la asociación de ambos constructos es coherente con cómo se ha definido la resiliencia académica, la cual consiste en la capacidad del estudiantado para obtener buenos resultados a pesar de un entorno desfavorecido (Ye et al., 2021). Por consiguiente, se puede señalar, que este resultado resulta alentador desde la perspectiva de la psicología educativa, puesto que la resiliencia es una variable que se puede trabajar y mejorar a partir de intervenciones (Peng et al., 2014 Sullivan et al., 2023).


Limitaciones y futuras líneas de investigación

Es importante considerar que este estudio presenta algunas limitaciones, y que estas deben ser consideradas para una adecuada y cautelosa interpretación de sus hallazgos. En primer lugar, con respecto a la revisión sistemática de la literatura que permitió identificar los estudios de interés y que cumplían los criterios de inclusión, las bases revisadas fueron dos (WOS y Scopus), por lo tanto, podrían existir algunos estudios que estén publicados e indexados en otras bases de datos. En segundo lugar, respecto del metaanálisis, si bien los estudios que fueron seleccionados proporcionaban la información estadística suficiente para llevar a cabo la investigación, a nivel de descripción del método estos presentaban limitaciones declaradas por los mismos autores. En tercer lugar, también en el caso del metaanálisis, otra posible limitación, hace referencia a los instrumentos usados en los estudios para medir la resiliencia, dado que se trataban de escalas tipo Likert, las que se caracterizan por ser instrumentos de autoinforme, los cuales algunos investigadores han advertido las potencialidades de sesgo, considerando que en muchos casos los participantes responden a estos bajo la influencia de la deseabilidad social (Holtgraves, 2004).

Respecto de las futuras líneas a investigar, dado los resultados y discusión presentada, se sugiere avanzar en la consolidación de modelos teóricos de resiliencia, lograr un consenso respecto de su definición conceptual y consecuentemente operacional (instrumentos de medida), mejorar los diseños metodológicos de las investigaciones para disminuir las limitaciones en la generalización de resultados, desarrollar un mayor número de investigaciones en la región latinoamericana y en especial en carreras STEM. Finalmente, dado que se confirma la relación positiva entre la resiliencia y el rendimiento académicos, se promueve el diseño de intervenciones que además consideren en su diseño las ventajas de las tecnologías, dirigidas a estudiantes universitarios, con el propósito de fortalecer su resiliencia y con ello mejorar los resultados académicos y disminuir el abandono.


Notas:

Aprobación final del artículo:
Dra. Verónica Zorrilla de San Martín, editora responsable de la revista.

Contribución de autoría:
Yenniffer Sáez-Delgado: conceptualización, curación de datos, investigación, metodología, escritura del borrador y revisión del manuscrito.
Angelica Vera-Sagredo: conceptualización, financiación, investigación, administración, gestión de recursos, supervisión, validación y revisión del manuscrito.
Javier Mella-Norambuena: análisis formal, gestión de recursos, software, visualización y revisión del manuscrito.

Disponibilidad de los datos:
El conjunto de datos que apoya los resultados de este estudio no se encuentra disponibles para su uso público.

Agradecimientos:
Se agradece el financiamiento a la Agencia Nacional de Investigación y Desarrollo (ANID), a través del proyecto FONDECYT de Iniciación N.º 11230202 titulado “Logros académicos: relación con variables socioemocionales y su efecto diferencial en estudiantes con NEE de establecimientos con altos índices de vulnerabilidad”.


Referencias

Abubakar, U., Azli, N., Hashim, I., Kamarudin, N., Latif, N., Badaruddin, A., Razak, M., & Zaidan, N. (2021). The relationship between academic resilience and academic performance among pharmacy students. Pharmacy Education, 21, 705–712. https://doi.org/10.46542/PE.2021.211.705712

Auttama, N., Seangpraw, K., Ong-Artborirak, P., & Tonchoy, P. (2021) Factors Associated with Self-Esteem, Resilience, Mental Health, and Psychological Self-Care Among University Students in Northern Thailand. Journal of Multidisciplinary Healthcare, 14(1), 1213-1221. https://doi.org/10.2147/JMDH.S308076

Allan, J., McKenna, J., & Dominey, S. (2014). Degrees of resilience: profiling psychological resilience and prospective academic achievement in university inductees. British Journal of Guidance and Counselling, 42(1), 9–25. https://doi.org/10.1080/03069885.2013.793784

Arnekrans, A., Calmes, S., Laux, J., Roseman, C., Piazza, N., Reynolds, J., Harmening, D., & Scott, H. (2018). College students’ experiences of childhood developmental traumatic stress: Resilience, first-year academic performance, and substance use. Journal of College Counseling, 21(1), 2–14. https://doi.org/10.1002/jocc.12083

Ayala, J., & Manzano, G. (2018). Academic performance of first-year university students: the influence of resilience and engagement. Higher Education Research and Development, 37(7), 1321–1335. https://doi.org/10.1080/07294360.2018.1502258

Banerjee, Y., Akhras, A., Khamis, A. H., Alsheikh-Ali, A., & Davis, D. (2019). Investigating the relationship between resilience, stress-coping strategies, and learning approaches to predict academic performance in undergraduate medical students: Protocol for a proof-of-concept study. JMIR Research Protocols, 8(9), 1–12. https://doi.org/10.2196/14677

Brewer, M., Van Kessel, G., Sanderson, B., Naumann, F., Lane, M., Reubenson, A., & Carter, A. (2019). Resilience in higher education students: A scoping review. Higher Education Research & Development, 38(6), 1105-1120. https://doi.org/10.1080/07294360.2019.1626810

Bruns, S., Asanov, I., Bode, R., Dunger, M., Funk, C., Hassan, S., Hauschildt, J., Heinisch, D., Kempa, K., König, J., Lips, J., Verbeck, M., Wolfschütz, E., & Buenstorf, G. (2019). Reporting errors and biases in published empirical findings: Evidence from innovation research. Research Policy, 48(9), 103796. https://doi.org/10.1016/j.respol.2019.05.005

Campbell-Sills, L., & Stein, M. (2007). Psychometric Analysis and Refinement of the Connor-Davidson Resilience Scale (CD-RISC): Validation of a 10-item Measure of Resilience. Journal of Traumatic Stress, 20(6), 1019-1028. https://doi.org/10.1002/jts.20271

Casanova, J., Vasconcelos, R., Bernardo, A., & Almeida, L. (2021). University Dropout in Engineering: Motives and Student Trajectories, Psicothema, 33(4), 595–601. https://doi.org/10.7334/psicothema2020.363

Cassidy, S. (2016). The academic resilience scale (ARS-30): A new multidimensional construct measure. Frontiers in Psychology, 7, 1787. http://dx.doi.org/10.3389/fpsyg.2016.01787

Chisholm-Burns, M., Spivey, C., Sherwin, E., Williams, J., & Phelps, S. (2019). Development of an instrument to measure academic resilience among pharmacy students. American Journal of Pharmaceutical Education, 83(6), 6896. https://doi.org/10.5688/ajpe6896

Choo, O., & Prihadi, K. (2019). Academic resilience as mediator of multidimensional perfectionism and academic performance among gen-Z undergraduate students. International Journal of Evaluation and Research in Education, 8(4), 637–646. https://doi.org/10.11591/ijere.v8i4.20340

Cochran, W. (1954). Some methods for strengthening the common χ2 tests. Biometrics, 10(4), 417-451. https://doi.org/10.2307/3001616

Cohen, J. (1988). Statistical power analysis for the behavioral sciences (2nd ed.). Erlbaum.

Connor, K., & Davidson, J. (2003). Development of a new resilience scale: The Connor Davidson Resilience Scale (CD-RISC). Depression and Anxiety, 18(2), 76–82. https://doi.org/10.1002/da.10113

Demi, A., & Barut, A. (2020). The relationship between university students’ psychological resilience and anxiety levels and comparison in terms of physical activity levels gender and academic achievement. Baltic Journal of Health and Physical Activity 12(6), 75–83. https://doi.org/10.29359/BJHPA.2020.Suppl.1.08

Díaz-Mujica, A., Sáez-Delgado, F., Cobo-Rendón, R., Del Valle, M., López-Angulo, Y., & Pérez-Villalobos, M. (2022). Systematic review for the definition and measurement of self-efficacy in university students. Interdisciplinaria, 39(2), 37-54.

Drewery, D., Pennaforte, A., & Pretti, T. (2016). Lifelong learning and cooperative education. World Association for Cooperative Education, 49, 49–56.

Egan, H., O’Hara, M., Cook, A., & Mantzios, M. (2022). Mindfulness, self-compassion, resiliency and wellbeing in higher education: a recipe to increase academic performance. Journal of Further and Higher Education, 46(3), 301–311. https://doi.org/10.1080/0309877X.2021.1912306

Ephrem, A., Nguezet, P., Charmant, I., Murimbika, M., Awotide, B., Tahirou, A., Lydie, M., & Manyong, V. (2021). Entrepreneurial motivation, psychological capital, and business success of young entrepreneurs in the DRC. Sustainability, 13(8), 4087. https://doi.org/10.3390/su13084087

Friborg, O., Hjemdal, O., Rosenvinge, J., & Martinussen, M. (2003). A new rating scale for adult resilience: What are the central protective resources behind healthy adjustment? International Journal of Methods in Psychiatric Research, 12, 65–76. https://doi.org/10.1002/mpr.143

Fung, S. (2020). Validity of the Brief Resilience Scale and Brief Resilient Coping Scale in a Chinese Sample. International Journal of Environmental Research and Public Health, 17(4), 1265. https://doi.org/10.3390/ijerph17041265

García-Martínez, I., Augusto-Landa, J. M., Quijano-López, R., & León, S. P. (2022). Self-concept as a mediator of the relation between university students’ resilience and academic achievement. Frontiers in Psychology, 12, 1–10. https://doi.org/10.3389/fpsyg.2021.747168

González-Arratia, N. (2016). ¿Qué es la resiliencia? En N. I. González Arratia López Fuentes (Ed.), Resiliencia y personalidad en niños y adolescentes. Cómo desarrollarse en tiempos de crisis (2.º ed., pp. 23–32). Universidad Autónoma del Estado de México.

Hernández, A., Escobar, S., Fuentes, N., & Eguiarte, B. (2019). Stress, self-efficacy, academic achievement and resilience in emerging adults. Electronic Journal of Research in Educational Psychology, 17(47), 129–148. https://doi.org/10.25115/ejrep.v17i47.2226

Holtgraves, T. (2004). Social desirability and self-reports: Testing models of socially desirable responding. Personality and Social Psychology Bulletin, 30(2), 161-172.

Jinyuan, L., Wan, T., Guanqin, C., Yin, L., & Changyong, F. (2016). Correlation and agreement: overview and clarification of competing concepts and measures. Shanghai Archives of Psychiatry, 28(2), 115.

Johnson, M., Taasoobshirazi, G., Kestler, J., & Cordova, J. (2015). Models and messengers of resilience: a theoretical model of college students’ resilience, regulatory strategy use, and academic achievement. Educational Psychology, 35(7), 869–885. https://doi.org/10.1080/01443410.2014.893560

Kang, K., Ortiz, C., Fear, B., & Granko, R. (2019). Tactics to improve resilience and well-being among pharmacy students. American Journal of Health-System Pharmacy, 76(18), 1374-1376. https://doi.org/10.1093/ajhp/zxz143

Kazmi, U., & Muazzam, A. (2020). Adjustment problems, depression and academic achievement: The mediating role of resilience. Pakistan Journal of Psychological Research, 35(3), 545–557. https://doi.org/10.33824/PJPR.2020.35.3.29

Kotzé, M., & Kleynhans, R. (2013). Psychological well-being and resilience as predictors of first-year students’ academic performance. Journal of Psychology in Africa, 23(1), 51–59. https://doi.org/10.1080/14330237.2013.10820593

Kwek, A., Bui, H., Rynne, J., & So, K. (2013). The impacts of self-esteem and resilience on academic performance: An investigation of domestic and international hospitality and tourism undergraduate students. Journal of Hospitality and Tourism Education, 25(3), 110–122. https://doi.org/10.1080/10963758.2013.826946

Lakens, D. (2022). Sample size justification. Collabra: Psychology, 8(1), 33267. https://doi.org/10.1525/collabra.33267

Lee, Y., & Jeon, A. (2022). The Effect of Airline Service Major Students’ Online Practical Classrelated Stress on College Maladjustment and Dropout Intention during the COVID-19 Pandemic: A Moderated Mediation Model of Resilience. Perspectives of Science & Education, 59(5).

Li, M., Li, W., & Li, L. (2019). Sensitive periods of moving on mental health and academic performance among university students. Frontiers in Psychology, 10, 1289. https://doi.org/10.3389/fpsyg.2019.01289

Lobos, K., Sáez-Delgado, F., Cobo-Rendón, R., Mella-Norambuena, J., Maldonado, A., Cisternas, N., & Bruna, C. (2021). Learning beliefs, time on platform, and academic performance during the COVID-19 in university STEM students. Frontiers in Psychology, 12, 780852. https://doi.org/10.3389/fpsyg.2021.780852

López-Angulo, Y., Sáez-Delgado, F., Mella-Norambuena, J., Bernardo, A., & Díaz-Mujica, A. (2023). Predictive model of the dropout intention of Chilean university students. Frontiers in Psychology, 13, 893894. https://doi.org/10.3389/fpsyg.2022.893894

Mella-Norambuena, J., Cobo-Rendón, R., Lobos, K., Sáez-Delgado, F., & Maldonado-Trapp, A. (2021). Smartphone use among undergraduate STEM students during COVID-19: An opportunity for higher education? Education Sciences, 11(8), 417. https://doi.org/10.3390/educsci11080417

Miraj, M., Chuntian, L., Mohd Said, R., Osei-Bonsu, R., & Rehman, R. (2021). How information-seeking behavior, essential technologies, and resilience enhance the academic performance of students. Frontiers in Psychology, 12, 1–13. https://doi.org/10.3389/fpsyg.2021.651550

Moher, D., Shamseer, L., Clarke, M., Ghersi, D., Liberati, A., Petticrew, M., Shekelle, P., & Stewart, L. A. (2016). Ítems de referencia para publicar Protocolos de Revisiones Sistemáticas y Metaanálisis: Declaración PRISMA-P 2015. Revista Española de Nutrición Humana y Dietética, 20(2), 148-160. https://dx.doi.org/10.14306/renhyd.20.2.223

Moosa, I. (2019). The fragility of results and bias in empirical research: an exploratory exposition. Journal of Economic Methodology, 26(4), 347-360. https://doi.org/10.1080/1350178X.2018.1556798

Nota, L., Soresi, S., & Zimmerman, B. (2004). Self-regulation and academic achievement and resilience: A longitudinal study. International Journal of Educational Research, 41(3), 198–215. https://doi.org/10.1016/j.ijer.2005.07.001

Ononye, U., Ogbeta, M., Ndudi, F., Bereprebofa, D., & Maduemezia, I. (2022). Academic resilience, emotional intelligence, and academic performance among undergraduate students. Knowledge and Performance Management, 6(1), 1–10. https://doi.org/10.21511/kpm.06(1).2022.01

Oshio, A., Nakaya, M., Kaneko, H., & Nagamine, S. (2002). Development and validation of an Adolescent Resilience Scale. Japanese Journal of Counseling Science, 35(1), 57–65.

Peng, L., Li, M., Zuo, X., Miao, Y., Chen, L., Yu, Y., Liu, B., & Wang, T. (2014). Application of the Pennsylvania resilience training program on medical students. Personality and Individual Differences, 61, 47-51. https://doi.org/10.1016/j.paid.2014.01.006

Pérez Navío, E., García Valdecasas Prieto, M., Gavín Chocano, O., & García Martínez, I. (2024). Explorando el papel de la autoeficacia y la motivación en las estrategias de aprendizaje de idiomas: Un metaanálisis en educación superior (2020-2024). Porta Linguarum, Revista Internacional de Enseñanza y Aprendizaje de Lenguas Extranjeras, (XI), 127–146. https://doi.org/10.30827/portalin.viXI.30543

Pertegal-Felices, M., Valdivieso-Salazar, D., Espín-León, A., & Jimeno-Morenilla, A. (2022). Resilience and Academic Dropout in Ecuadorian University Students during COVID-19. Sustainability, 14(13), 8066. https://doi.org/10.3390/su14138066

Popa-Velea, O., Pîrvan, I., & Diaconescu, L. (2021). The impact of self-efficacy, optimism, resilience and perceived stress on academic performance and its subjective evaluation: A cross-sectional study. International Journal of Environmental Research and Public Health, 18(17), 1–15. https://doi.org/10.3390/ijerph18178911

Prihadi, K., Cheow, D., Yong, J., & Sundrasagran, M. (2018). Improving Resilience and Self-Esteem among University Students with Entrepreneurship Simulation Board Game. International Journal of Evaluation and Research in Education, 7(1), 48-56.

Sáez-Delgado, F., Mella-Norambuena, J., López-Angulo, Y., Sáez, Y., & León-Ron, V. (2023). Invariant and suboptimal trajectories of self-regulated learning during secondary school: implications focused on quality in higher education. Frontiers in Psychology, 14. https://doi.org/10.3389/fpsyg.2023.1235846

Sáez-Delgado, F., Mella-Norambuena, J., Loyer, S., Zambrano, C., & Zañartu, N. (2020). Self-regulated learning in engineering students: A systematic review. Revista Espacios, 41(2), 7-21.

Sáez-Delgado, F., Díaz, A., Panadero, E., & Bruna, D. (2018). Revisión sistemática sobre competencias de autorregulación del aprendizaje en estudiantes universitarios y programas intracurriculares para su promoción. Formación Universitaria, 11(6), 83-98. http://dx.doi.org/10.4067/S0718-50062018000600083

Salanova, M., Schaufeli, W., Martinez, I., & Breso, E. (2009). How obstacles and facilitators predict academic performance: The mediating role of study burnout and engagement. Anxiety, Stress, & Coping, 26(1), 18–23. http://dx.doi.org/10.1080/10615800802609965

Sánchez-Meca, J. (2022). Revisiones sistemáticas y meta-análisis en Educación: un tutorial. RiiTE Revista Interuniversitaria de Investigación en Tecnología Educativa, 13(8), 5-40. https://doi.org/10.6018/riite.545451

Sisto, A., Vicinanza, F., Campanozzi, L., Ricci, G., Tartaglini, D., & Tambone, V. (2019). Towards a transversal definition of psychological resilience: A literature review. Medicina, 55(11), 745. https://doi.org/10.3390/medicina55110745

Smith, B., Dalen, J., Wiggins, K., Tooley, E., Christopher, P., & Bernard, J. (2008). The brief resilience scale: assessing the ability to bounce back. International Journal of Behavioral Medicine, 15(3), 194–200. https://doi.org/10.1080/10705500802222972

Southwick, S., Bonanno, G., Masten, A., Panter-Brick, C., & Yehuda, R. (2014). Resilience definitions, theory, and challenges: interdisciplinary perspectives. European Journal of Psychotraumatology, 5(1), 25338. https://doi.org/10.3402/ejpt.v5.25338

Stack-Cutler, H., Parrila, R., & Torppa, M. (2015). Using a multidimensional measure of resilience to explain life satisfaction and academic achievement of adults with reading difficulties. Journal of Learning Disabilities, 48(6), 646–657. https://doi.org/10.1177/0022219414522705

Sullivan, L., Carter, J., Houle, J., Ding, K., Hautmann, A., & Yang, J. (2023). Evaluation of a resilience training program for college student-athletes: A pilot study. Journal of American College Health, 71(1), 310-317. https://doi.org/10.1080/07448481.2021.1891083

Taherdoost, H. 2016. Sampling Methods in Research Methodology; How to Choose a Sampling Technique for Research. International Journal of Advance Research in Management, 5(2), 18-27. http://dx.doi.org/10.2139/ssrn.3205035

Taherdoost, H. (2017). Determining sample size; how to calculate survey sample size. International Journal of Economics and Management Systems, 2, 237-239.

Tang, W. (2019). Resilience and self-compassion related with achievement emotions, test anxiety, intolerance of uncertainty, and academic achievement. Psychological Studies, 64(1), 92–102. https://doi.org/10.1007/s12646-019-00482-6

Taylor, J. (2013). The power of resilience: A theoretical model to empower, encourage and retain teachers. The Qualitative Report, 18(35).

Tipismana, O. (2019). Resilience factors and coping as predictors of academic performance of the students in private universities. REICE. Revista Iberoamericana Sobre Calidad, Eficacia y Cambio en Educación, 17(2), 147–185. https://doi.org/10.15366/reice2019.17.2.008

Trigueros, R., Padilla, A., Aguilar-Parra, J., Mercader, I., López-Liria, R., & Rocamora, P. (2020). The influence of transformational teacher leadership on academic motivation and resilience, burnout and academic performance. International Journal of Environmental Research and Public Health, 17(20), 1–11. https://doi.org/10.3390/ijerph17207687

Van Hoek, G., Portzky, M., & Franck, E. (2019). The influence of socio-demographic factors, resilience and stress reducing activities on academic outcomes of undergraduate nursing students: A cross-sectional research study. Nurse Education Today, 72, 90-96. https://doi.org/10.1016/j.nedt.2018.10.013

Vella, S.-L., & Pai, N. (2019). A theoretical review of psychological resilience: Defining resilience and resilience research over the decades. Archives of Medicine and Health Sciences, 7(2), 233. https://doi.org/10.4103/amhs.amhs_119_19

Viechtbauer, W. (2010). Conducting meta-analyses in R with the metafor package. Journal of Statistical Software, 36, 1-48. https://doi.org/10.18637/jss.v036.i03

Wagnild, G. (2010). The Resilience Scale User’s Guide for the US English Version of the Resilience Scale and the 14-Item Resilience Scale (RS-14). The Resilience Center.

Windle, G., Markland, D., & Woods, B. (2008). Examination of a theoretical model of psychological resilience in older age. Aging and Mental Health, 12(3), 285-292. https://doi.org/10.1080/13607860802120763

Ye, W., Strietholt, R., & Blömeke, S. (2021). Academic resilience: Underlying norms and validity of definitions. Educational Assessment, Evaluation and Accountability, 33, 169-202. https://doi.org/10.1007/s11092-020-09351-7